研究の進め方

本研究室に所属する学生たちは、以下のように研究を進めていきます。なお、どの学年の学生たちについても、物理現象への興味、やる気、自主性を求めます。また、質問や議論は随時受け付けます

3 回生はこちら

4 回生はこちら

大学院生はこちら

これまでの研究テーマはこちら

3 回生

物理を主専攻に選んだ 3 回生は、量子ビーム工学研究室と本研究室の合同で活動します。週 1 回のゼミで、2 つの研究室に所属する 4 回生以上の学生が行なっている研究を学びます。

3 回生の終わりまでに、量子ビーム工学研究室と本研究室のどちらに所属するかを、学生の希望をもとに決定します。

4 回生

本研究室に配属された学生は、3 回生の終わりころから研究テーマを決め、卒業研究を進めます。

本研究室は原子核ハドロン物理学研究室ですが、「物理学的な考え方」を養うため、卒業研究では「原子核」「ハドロン」にとらわれず「環境の中にある(そして自分の興味のある)、あらゆる物理現象」を研究対象に選ぶことができます。また、研究の手法は、紙とペンとパソコンを用いた、現象を記述する物理モデルの構築と数値計算・シミュレーションです。

研究テーマに即した教科書を教材にして、週 1 回の輪講を行ないます。また、数値シミュレーション実行のため、数値計算技術の習得も行ないます。

4 回生の 1 月末に卒業論文を提出し、また 2 月に卒業研究発表会を行ないます。

大学院生

大学院生は、原子核ハドロン物理学に関わる現象を、数値計算・シミュレーションを通じて研究します。

博士前期課程の 1 回生は、場の量子論やハドロン物理学の教科書を教材にして、週 1 回の輪講を行ないます。

1 回生の後期までに、具体的な研究テーマを決めます。研究テーマが決まったら、これに沿った論文を読みつつ各自で研究を進めます。週 1 回、学んだことや分かったことを報告します。

博士前期課程の 2 回生の 2 月に修士論文を提出し、また修士論文発表会を行ないます。

博士後期課程では、各自で研究を進めます。週 1 回、学んだことや分かったことを報告します。

これまでの研究テーマ

修士・博士論文

2022 年度

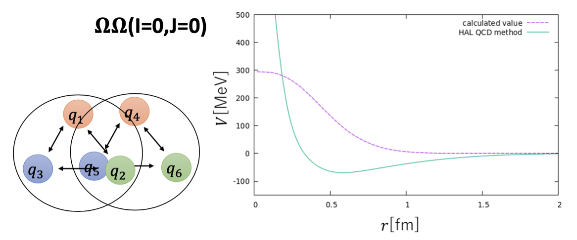
2022_QuarkCluster.png ΩΩ間ポテンシャル.

クォーク共鳴群法に基づいて、構成子クォーク間の色磁気相互作用がもたらすバリオン間相互作用を計算した。結果として、レンジが 1 fm 程度の相互作用ポテンシャルを得た。また、色磁気相互作用だけでは実験・数値シミュレーションを再現できないことを明らかにした。

→ 研究を更に発展させたものが、原著論文として出版されました。

"Reexamination of the short-range baryon-baryon potentials in the constituent quark model",
T. Sekihara and T. Hashiguchi,
Phys. Rev. C 108 (2023) 065202 [ arXiv: 2304.13877 [nucl-th] ].

主な参考文献
[1] ポッフ リーツ ショルツ サッチャ 著、柴田利明 訳『素粒子・原子核物理入門 改訂新版』(丸善出版, 2012).
[2] M. Oka, K. Shimizu and K. Yazaki, "Quark Cluster Model of Baryon-Baryon Interaction", Prog. Theor. Phys. Suppl. 137 (2000) 1.

卒業研究

2022 年度

2022_FDTD.png 耳介モデルと外耳道入口における音圧.

音の聞こえる方向をどのように認識するのかを議論するため、耳介モデルを作成し、外耳道に入る音波の音源位置依存性をシミュレーションした。

主な参考文献
[1] 長谷川修司 著『振動・波動』(講談社, 2009).
[2] 豊田政弘 編著『FDTD 法で視る音の世界』(コロナ社, 2015).


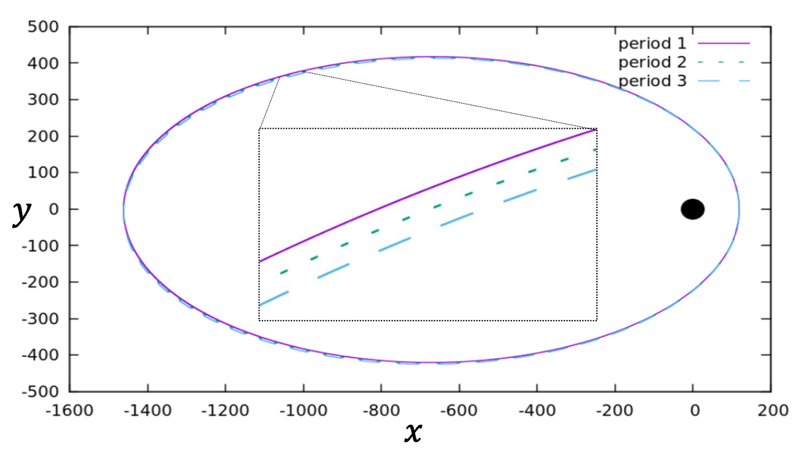
2022_S2.png いて座 A* を公転する S2 の軌道 [au].

天の川銀河の中心にあるブラックホール「いて座 A*」の近傍を公転する恒星 S2 に対して、一般相対論的運動方程式を解いて軌道を数値計算し、一般相対論的効果の発現を議論した。

主な参考文献
[1] 杉山直 著『相対性理論』(講談社, 2010).
[2] S. Gillessen et al., "An Update on Monitoring Stellar Orbits in the Galactic Center", Astrophys. J 837 (2017) 30.


2022_fluid.png 部屋を通り抜ける風の流れと流速 [m/s].

部屋の中を効率良く空気が流れる場合を議論するため、部屋に障害物を置いて流体シミュレーションし、空気の流れが障害物の位置に対してどう変化するかを調べた。

主な参考文献
[1] 巽友正 著『連続体の力学』(岩波書店, 2021).
[2] 一般社団法人 オープン CAE 学会 編『OpenFOAM による熱移動と流れの数値解析』(森北出版, 2021).


2022_traveling.png イジング模型と 15 府県の巡回.

スピンが並んだイジング模型のエネルギーと巡回セールスマンがたどる経路長が等価であることを利用し、イジング模型の最低エネルギーをモンテカルロ計算で探すことにより、巡回セールスマンがたどる最短経路長を求めた。

主な参考文献
[1] 原田勲 杉山忠男 著『量子力学 I』(講談社, 2009).
[2] 二宮正夫 杉野文彦 杉山忠男 著『量子力学 II』(講談社, 2010).
[3] 北原和夫 杉山忠男 著『統計力学』(講談社, 2010).
[4] 西森秀稔 大関真之 著『量子アニーリングの基礎』(共立出版, 2018).


2021 年度

2021_LaTeX.png 数式画像のスペクトル解析.

数式の画像を LaTeX コード ($\int ( x + 1 ) d x$ など) による電子テキストファイルに変換するシステムを、ニューラルネットワーク構築のオープンソースライブラリである Chainer を用いて開発した。

主な参考文献
[1] 北山直洋 著『Python で始める OpenCV4 プログラミング』(カットシステム, 2019).
[2] 坂本俊之 著『Chainer で作るコンテンツ自動生成 AI プログラミング入門』(シーアンドアール研究所, 2017).

2020 年度

2020_EM.png 放出された電磁場の磁場の分布.

無線 LAN ルーターから発振される電波と電子レンジなどの家電製品から漏れている電磁波の様子をシミュレーションし、それらの干渉効果を議論した。

主な参考文献
[1] 砂川重信 著『電磁気学の考え方』(岩波書店, 1993).
[2] 宇野享 編著, 何一偉 有馬卓司 共著『数値電磁界解析のための FDTD 法 -基礎と応用-』(コロナ社, 2016).


2020_Wing.png 翼周りの空気の流速 [m/s].

航空機の翼周りの空気の流れをシミュレーションし、航空機の翼がどれだけの揚力を生み出すのかを議論した。

主な参考文献
[1] 今井功 著『流体力学 物理テキストシリーズ 9』(岩波書店, 1993).
[2] はんままにあ 著『OpenFOAM の歩き方 -第二版 v1912 対応版-』(2020).


2020_Hartree.png Hartree 近似を用いて計算したフッ素原子の波動関数.

多電子系の Schrödinger 方程式を有効核電荷の手法または Hartree 近似を用いて解き、フッ素の特性 X 線エネルギーの値を計算した。

主な参考文献
[1] 猪木慶治 川合光 著『量子力学 I』(講談社, 1994).
[2] 猪木慶治 川合光 著『量子力学 II』(講談社, 1994).


2020_Si.png Si 結晶のバンド構造.

ダイヤモンドと Si 結晶について、それぞれ主量子数 2 と 3 の sp3 混成軌道に基づいてバンド構造と原子間距離を計算した。

主な参考文献
[1] 猪木慶治 川合光 著『量子力学 I』(講談社, 1994).
[2] 矢口裕之 著『初歩から学ぶ固体物理学』(講談社, 2017).
[3] G. E. Kimball, "The Electric Structure of Diamond", Journal of Chemical Physics 3 (1935) 560.


トップ   新規 一覧 単語検索 最終更新   ヘルプ   最終更新のRSS